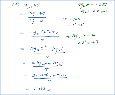
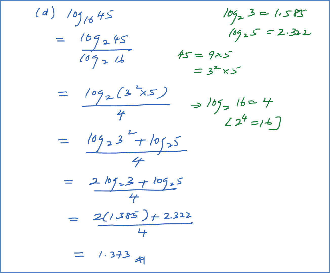
4.3.2b Penukaran Asas Logaritma (Contoh Soalan) January 23, 2022April 24, 2020 by Contoh 5: Diberi log2 3 = 1.585 dan log2 5 = 2.322, ungkapkan setiap yang berikut. (a) log8 15 (b) log5 0.6 (c) log15 30 (d) log16 45 Penyelesaian: