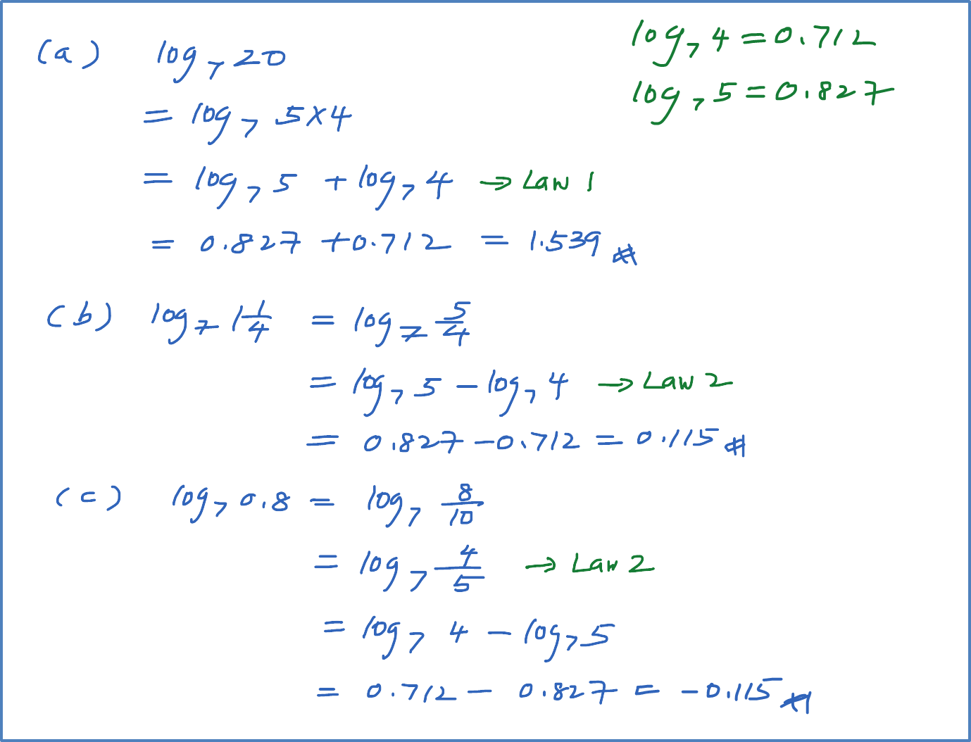
4.3.1b Hukum-hukum Logaritma (Contoh 3) January 23, 2022April 19, 2020 by Contoh 3: Diberi bahawa log7 4 = 0.712 dan log7 5 = 0.827, cari nilai bagi setiap yang berikut. (a) log 7 20 (b) log 7 1 1 4 (c) log 7 0.8 (d) log 7 28 (e) log 7 140 (f) log 7 100 (g) log 7 0.25 (h) log 7 35 64 Penyelesaian: