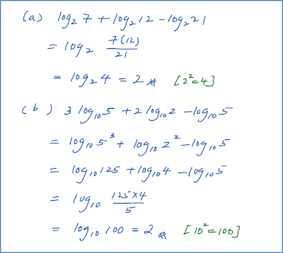
4.3.1a Hukum-hukum Logaritma (Contoh 2) January 23, 2022April 18, 2020 by Contoh 2: Cari nilai bagi setiap yang berikut. (a) log 2 7 + log 2 12 + log 2 21 (b) 3 log 10 5 + 2 log 10 2 − log 10 5 (c) 2 log 10 3 − log 10 3 + log 10 3 1 3 (d) log 3 3 p + log 3 3 q − log 3 p q Penyelesaian: