1.5.2 Fungsi, SPM Praktis (Soalan Pendek)
Soalan 5:
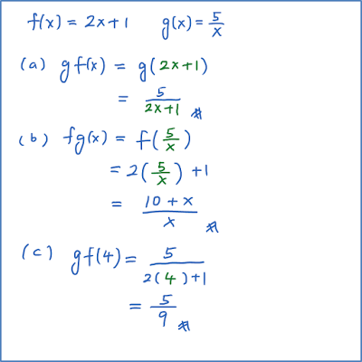
Jika f: x → 2x + 1 dan
. Cari fungsi gubahan gf, fg dan nilai gf (4).
Penyelesaian:
Soalan 6:
Suatu fungsi f ditakrifkan oleh f : x → 2x + 1.
Cari fungsi g jika
Cari fungsi g jika
Penyelesaian:
[Perhatian: Fungsi pertama diberi]
Soalan 7:
Suatu fungsi f ditakrifkan oleh
Cari fungsi g jika
Cari fungsi g jika
Penyelesaian:



Tq a lot..I hope u can show alot of questions and answer…now i can do the best for my exam..
its help me a lot … thanks….
thank you so much… its really help me to understand better